Предмет: Математика, автор: nastyalovewow

помогите решить!!!
Заранеее спасибо

Приложения:

nastyalovewow: Пж можно побыстрее мне через час к репетитору
wangross: К репетитору??? Ты для того к нему и ходишь, платишь бешеные деньги, чтобы ОН тебе объяснял
nastyalovewow: а тебе ответить трудно?
wangross: Да мне не трудно. Я тебе решу и не такое. А вот хамить не советую.
nastyalovewow: ну пж реши если можешь
wangross: Просто зачем стесняться репетитора, если ты ему платишь деньги? Объясни пожалуйста, не доходит до меня.
nastyalovewow: я постоянно у него в дз что то не решаю и вот хочу его удивить

Ответы

Автор ответа: wangross
0
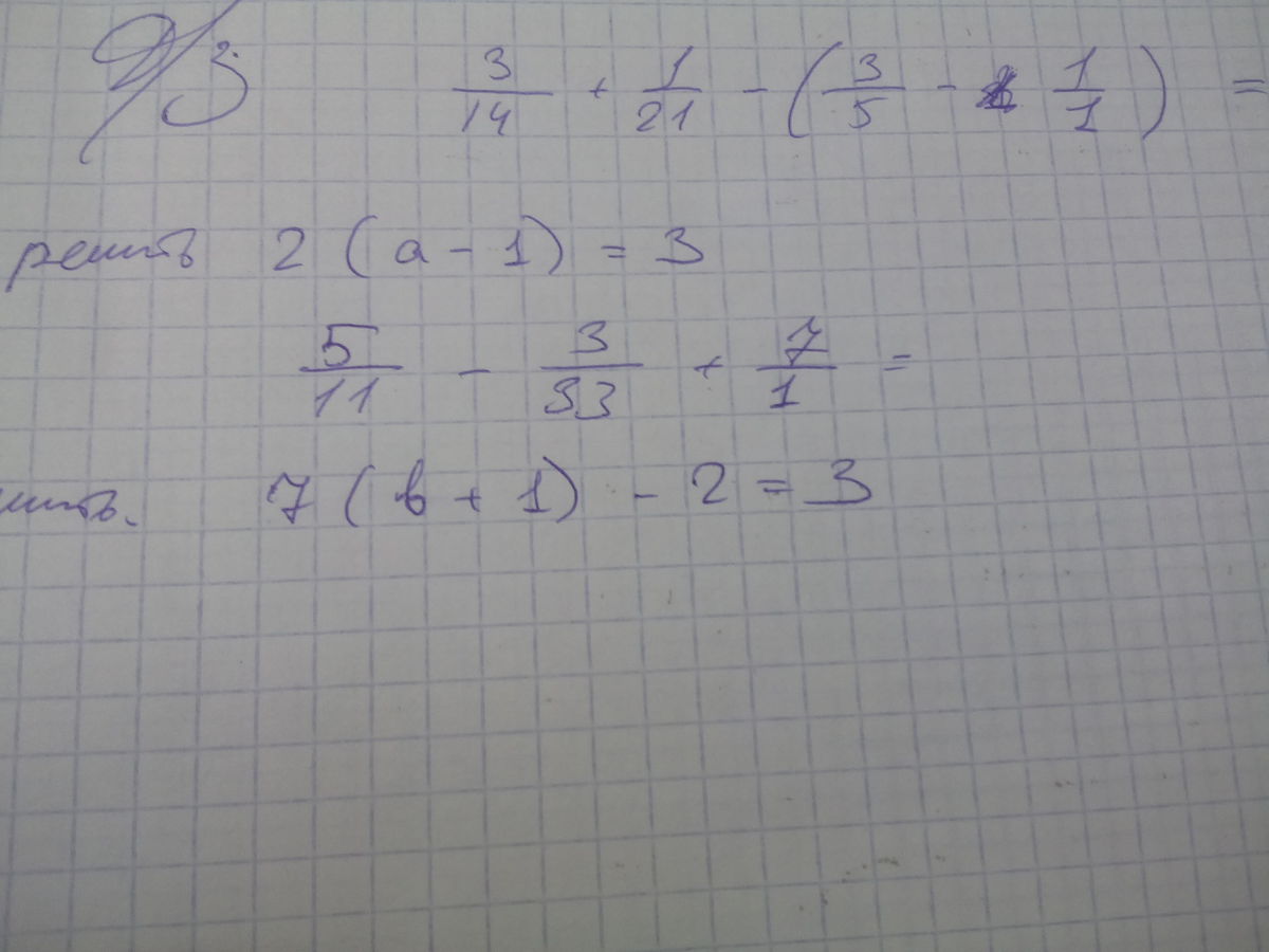
1)~~\frac{3}{14} + \frac{1}{21} -\big( \frac{3}{5} - \frac{5}{5} \big)= \frac{3}{14} + \frac{1}{21} -\big(-\frac{2}{5}\big) = \frac{3}{14} + \frac{1}{21} + \frac{2}{5} = \\  \\ = \frac{3\cdot15+1\cdot10+2\cdot42}{210}  = \frac{45+10+84}{210} = \frac{139}{210} \\  \\  \\ 2)~~2(a-1)=3 \\ ~~~~~2a-2=3 \\ ~~~~~2a=3+2 \\ ~~~~~2a=5 \\ ~~~~~a=2,5


 3)~~ \frac{5}{11} - \frac{3}{33} + \frac{7}{1} = \frac{5}{11} - \frac{1}{11} + \frac{7}{1} = \frac{5-1+7\cdot11}{11} = \frac{4+77}{11} = \frac{81}{11} =7 \frac{4}{11}  \\  \\  \\ 4)~~7(b+1)-2=3 \\ ~~~~~7b+7=5 \\ ~~~~~7b=5-7 \\ ~~~~~7b=-2 \\ ~~~~~b=- \frac{2}{7}
Похожие вопросы
Предмет: Русский язык, автор: abukaakyltas
Предмет: Музыка, автор: kirril84