Предмет: Математика,
автор: kosovao62
чему равен cos a, если sin a =1/5, п/ 2 < а<п
Ответы
Автор ответа:
17
.................................................................
Приложения:
kosovao62:
спаасибки
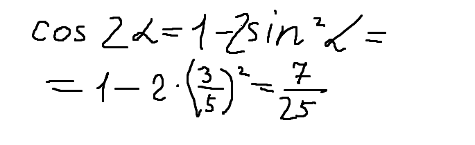
помогите) вычислить cos 2 альфа.если sin альфа = 3 / 5 и 0 < альфа < пи / 2
"cos 2 альфа" 2ух альфа?
да
сейчас
2ая фотка
Похожие вопросы
Предмет: Окружающий мир,
автор: leasli07
Предмет: Английский язык,
автор: Аноним
Предмет: Русский язык,
автор: aleshinanika
Предмет: Українська мова,
автор: nikitosiknikirosik09
Предмет: Английский язык,
автор: mira1870