Предмет: Математика,
автор: Alar921
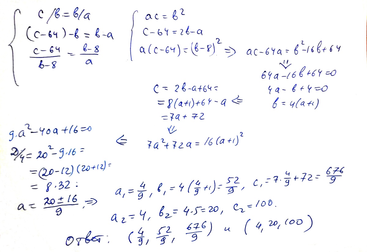
Дана система
c/b=b/a
(c-64)-b=b-a
(c-64)/(b-8)=(b-8)/a
Найти С!
Решите пожалуйста, 70 баллов за задачу
Ответы
Автор ответа:
1
Решение прицеплено в картинке
Приложения:
Автор ответа:
1
{ c = b^2/a
{ c = 2b - a + 64
{ (2b - a)*a = (b-8)^2
Из 1 и 2 уравнений получаем
b^2/a = 2b - a + 64
Отсюда
{ b^2 = 2ab - a^2 + 64a
{ 2ab - a^2 = (b-8)^2
Перепишем так
{ 2ab - a^2 = b^2 - 64a
{ 2ab - a^2 = (b-8)^2
Получаем
b^2 - 64a = b^2 - 16b + 64
16b = 64a + 64
b = 4a + 4
Подставляем в 1 уравнение
2a(4a + 4) - a^2 = (4a + 4)^2 - 64a
8a^2 + 8a - a^2 = 16a^2 + 32a + 16 - 64a
9a^2 - 40a + 16 = 0
D/4 = 20^2 - 9*16 = 400 - 144 = 256 = 16^2
a1 = (20 - 16)/9 = 4/9; b1 = 4a + 4 = 4*4/9 + 4 = 52/9;
c1 = b^2/a = 52^2/81 : (4/9) = 52*4*13/81*9/4 = 52*13/9 = 676/9
c1 = 2b - a + 64 = 2*52/9 - 4/9 + 64 = 100/9 + 64 = 676/9
Совпало.
a2 = (20 + 16)/9 = 4; b2 = 4a + 4 = 4*4 + 4 = 20;
c2 = b^2/a = 20^2/4 = 400/4 = 100
c2 = 2b - a + 64 = 2*20 - 4 + 64 = 36 + 64 = 100
Совпало.
Ответ: c1 = 676/9; c2 = 100
{ c = 2b - a + 64
{ (2b - a)*a = (b-8)^2
Из 1 и 2 уравнений получаем
b^2/a = 2b - a + 64
Отсюда
{ b^2 = 2ab - a^2 + 64a
{ 2ab - a^2 = (b-8)^2
Перепишем так
{ 2ab - a^2 = b^2 - 64a
{ 2ab - a^2 = (b-8)^2
Получаем
b^2 - 64a = b^2 - 16b + 64
16b = 64a + 64
b = 4a + 4
Подставляем в 1 уравнение
2a(4a + 4) - a^2 = (4a + 4)^2 - 64a
8a^2 + 8a - a^2 = 16a^2 + 32a + 16 - 64a
9a^2 - 40a + 16 = 0
D/4 = 20^2 - 9*16 = 400 - 144 = 256 = 16^2
a1 = (20 - 16)/9 = 4/9; b1 = 4a + 4 = 4*4/9 + 4 = 52/9;
c1 = b^2/a = 52^2/81 : (4/9) = 52*4*13/81*9/4 = 52*13/9 = 676/9
c1 = 2b - a + 64 = 2*52/9 - 4/9 + 64 = 100/9 + 64 = 676/9
Совпало.
a2 = (20 + 16)/9 = 4; b2 = 4a + 4 = 4*4 + 4 = 20;
c2 = b^2/a = 20^2/4 = 400/4 = 100
c2 = 2b - a + 64 = 2*20 - 4 + 64 = 36 + 64 = 100
Совпало.
Ответ: c1 = 676/9; c2 = 100
Похожие вопросы
Предмет: Русский язык,
автор: Даяна031
Предмет: Русский язык,
автор: anna8901
Предмет: Английский язык,
автор: tatianastankevp2jpa6
Предмет: Геометрия,
автор: dabldor19
Предмет: Русский язык,
автор: ChemHelp