Предмет: Геометрия,
автор: natalyati
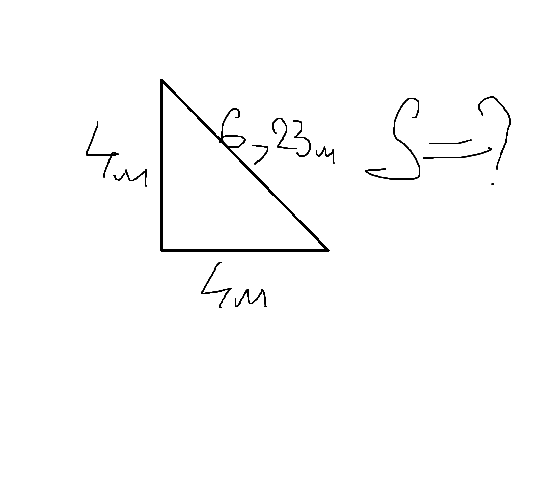
Найдите площадь прямоугольного треугольника
катеты = 4 м
гипотенуза = 6,23 м
Приложения:
Ответы
Автор ответа:
0
S=1/2*a*b
a и b-катеты
1/2*4*4=8(м²)
Ответ:8
a и b-катеты
1/2*4*4=8(м²)
Ответ:8
Автор ответа:
0
Площадь прямоугольного треугольника равен половине произведения его катетов(S=1/2ab)
S=1/2*4*4=8
S=1/2*4*4=8
Похожие вопросы
Предмет: Қазақ тiлi,
автор: darinamg8297
Предмет: Русский язык,
автор: petrovichgemor2003
Предмет: Українська література,
автор: Pölina28103006
Предмет: Алгебра,
автор: rGVCdth
Предмет: Русский язык,
автор: larevar1029