Предмет: Математика,
автор: ban97
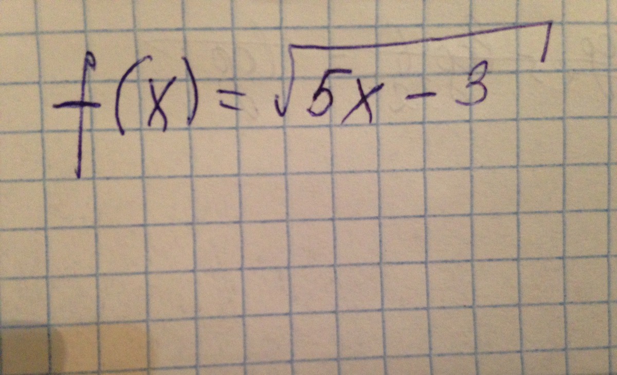
Найдите производную функции:
Приложения:
Ответы
Автор ответа:
1
Автор ответа:
1
Производная сложной функции 
Найдем производную по формулам

Найдем производную по формулам
Похожие вопросы
Предмет: Русский язык,
автор: kameliy1984p04bhz
Предмет: Окружающий мир,
автор: амни
Предмет: Беларуская мова,
автор: алех20
Предмет: Английский язык,
автор: sppdniga
Предмет: История,
автор: nikitanesmeyanov536