Предмет: Математика,
автор: TAUASAR
трудновато в конце я не мог до конца решить !!! помогите люди добрые
Приложения:
Ответы
Автор ответа:
0
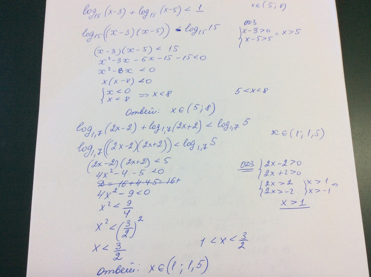
Решение смотри в приложении
Приложения:
Похожие вопросы
Предмет: Немецкий язык,
автор: КаркарКа1
Предмет: Английский язык,
автор: tamara150187
Предмет: Английский язык,
автор: ТСТ1
Предмет: Русский язык,
автор: tagvah
Предмет: Алгебра,
автор: Daisy171