Предмет: Математика,
автор: utilinaa
Помогите, умоляю.
Это очень-очень срочно.. пожалуйста..
Приложения:
Ответы
Автор ответа:
1
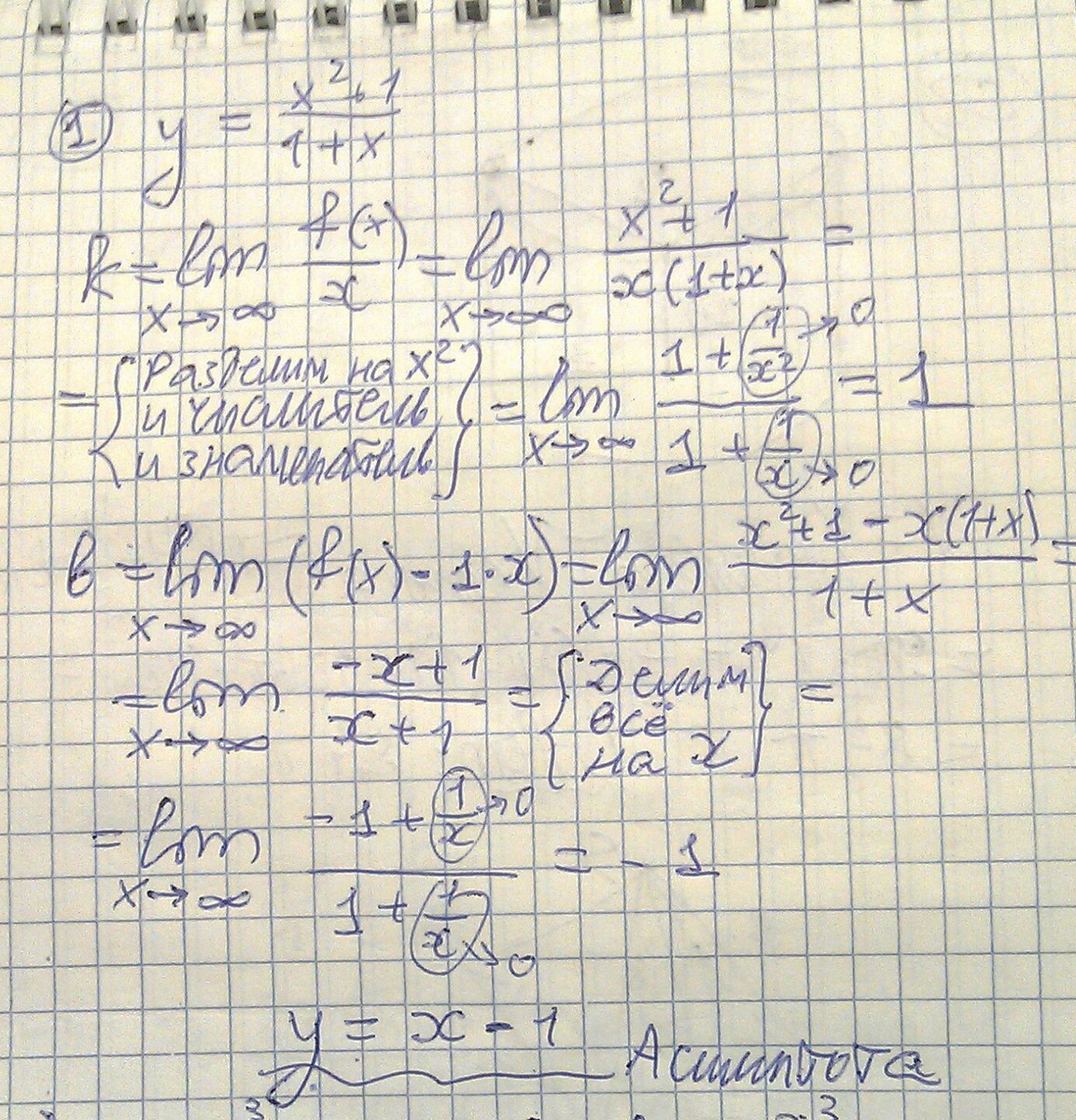
Решение в файлах, удачи! )
Приложения:
utilinaa:
Спасибо огромнейшее
очень помогли
Успехов вам! ))
Похожие вопросы
Предмет: Русский язык,
автор: АнтонХабаров
Предмет: Английский язык,
автор: Дильназ159
Предмет: Русский язык,
автор: ELENAKOP
Предмет: Физика,
автор: maratismailov05
Предмет: Литература,
автор: zarema20036104