Предмет: Математика,
автор: DariaNoroz
помогите пожалуйста с математикой
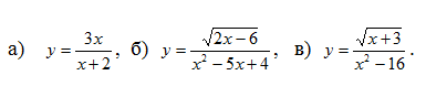
Найдите область определения функции.
Приложения:
Ответы
Автор ответа:
6
№ 1



∞;
∞)
№2








∞
№3




∞
№2
№3
Похожие вопросы
Предмет: Русский язык,
автор: MLPPaniPie
Предмет: Английский язык,
автор: 124124121
Предмет: Русский язык,
автор: максим123453
Предмет: Русский язык,
автор: mish4543
Предмет: Английский язык,
автор: darinka3394