Предмет: Математика,
автор: costyaet
Помогите пожалуйста
репетитор домашку задал а я последний номер не могу решить
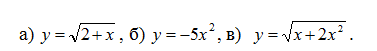
Установите, какие из данных функций четные, какие нечетные:
Приложения:
costyaet:
мне желательно с решением
Ответы
Автор ответа:
0
1)y=√2+x D(y)∈[-2;∞)
y(-x)=√2-x D(y)∈(-∞;2]
ни четная,ни нечетная
2)у=-5х² D(y)∈(-∞;∞)
y(-x)=-5(-x)²=-5x²
y(x)=y(-x)
четная
3)у=√(х+2х²) D(y)∈(-∞;-1/2) U (0;∞)
y(-x)=√(-x+2(-x)²=√(-x+2x²) D(y)∈(-∞;0) U (1/2;∞)
ни четная,ни нечетная
y(-x)=√2-x D(y)∈(-∞;2]
ни четная,ни нечетная
2)у=-5х² D(y)∈(-∞;∞)
y(-x)=-5(-x)²=-5x²
y(x)=y(-x)
четная
3)у=√(х+2х²) D(y)∈(-∞;-1/2) U (0;∞)
y(-x)=√(-x+2(-x)²=√(-x+2x²) D(y)∈(-∞;0) U (1/2;∞)
ни четная,ни нечетная
Автор ответа:
1
Функция чётна, если 
Функция нечётная, если
Если оба условия не выполняются, то функция является ни чётной, ни нечётной (функция общего вида)

Ни чётная, ни нечётная

Чётная

Ни чётная, ни нечётная
Функция нечётная, если
Если оба условия не выполняются, то функция является ни чётной, ни нечётной (функция общего вида)
Ни чётная, ни нечётная
Чётная
Ни чётная, ни нечётная
Похожие вопросы
Предмет: Русский язык,
автор: максим123453
Предмет: Русский язык,
автор: вдв14
Предмет: Английский язык,
автор: aqon
Предмет: Химия,
автор: hhhhjfff
Предмет: Английский язык,
автор: Аноним