Предмет: Математика,
автор: LKena
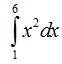
Вычислите интеграл пользуясь формулами прямоугольников, трапеций, если n=5
Приложения:
tolya91:
а откуда вообще n=5 , как его в нахождении интеграла то использовать?
Ответы
Автор ответа:
1
Вот ответ прикрепил. Посмотри решение снизу!
Приложения:
Похожие вопросы
Предмет: Русский язык,
автор: CeM4iIK
Предмет: Другие предметы,
автор: anutakapanadze
Предмет: Русский язык,
автор: Дави11
Предмет: Литература,
автор: ali180982
Предмет: Английский язык,
автор: davidos