Предмет: Алгебра,
автор: dianamaeva98
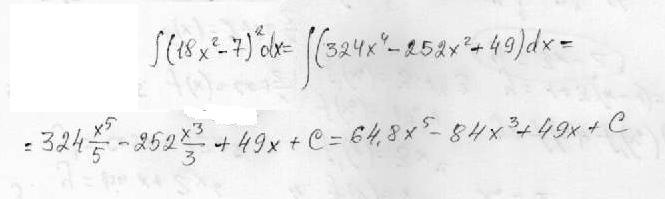
f (18 x^2-7)^2dx помогите срочно прошу умоляяяю)
Ответы
Автор ответа:
1
_______________________________
Приложения:
Похожие вопросы
Предмет: Русский язык,
автор: Катттття
Предмет: Қазақ тiлi,
автор: 5011936
Предмет: Русский язык,
автор: ФараонХеопс
Предмет: Окружающий мир,
автор: a18adelya
Предмет: Русский язык,
автор: 78901843