Предмет: Алгебра,
автор: bskirito111
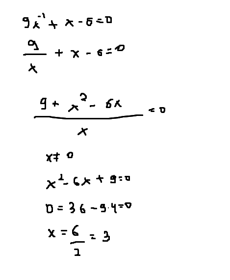
9x^-1+x-6=0 помогите решить уравнение
Ответы
Автор ответа:
2
...............................................
Приложения:
Автор ответа:
3
Похожие вопросы
Предмет: Русский язык,
автор: arutoganisan25
Предмет: Русский язык,
автор: dawka07092
Предмет: Окружающий мир,
автор: lokerpuker2018
Предмет: Информатика,
автор: asemkhan94
Предмет: Алгебра,
автор: oselivanova81