Предмет: Математика,
автор: Гульназка19
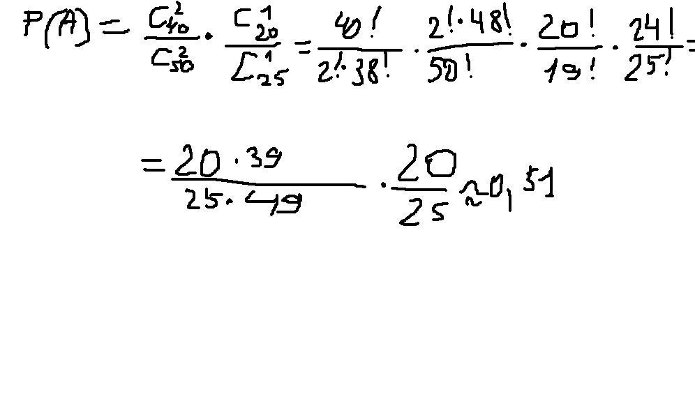
Студент подготовил 40 из 50 экзаменационных вопросов и 20 из 25 задач. Найдите вероятность того, что он ответит на билет, содержащий два вопроса и задачу.
Ответы
Автор ответа:
3
................................................................................
Приложения:
Похожие вопросы
Предмет: Английский язык,
автор: КапитанПрайс3000
Предмет: Русский язык,
автор: ilhameqarayeva
Предмет: Русский язык,
автор: doroshuk99
Предмет: Математика,
автор: ahfstafs