Предмет: Математика,
автор: dhdhshdbx
Помогите пожалуйста, тест.
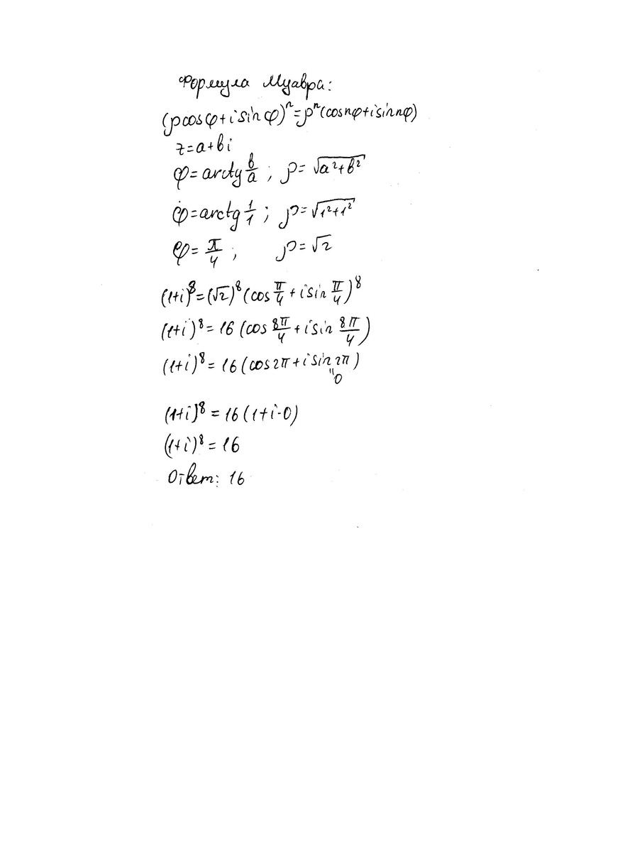
Вычислить: (1 + I)^8
Montale:
Это буква i
Мнимая единица или что?
Буква I
Надо разложить на множители или получить ответ в виде числа?
Сделаю как мнимую единицу.
Да в виде числа, 3 варианта. 1. 16, 2.
1. 16, 2
1. 16, 2. 2, 3. -16
Телефон затупил, последний комментарий верный
Ответы
Автор ответа:
0
Ответ: 16. По формуле Муавра
Приложения:
Похожие вопросы
Предмет: Окружающий мир,
автор: zhyolzelzhyolze
Предмет: Русский язык,
автор: котоум
Предмет: Қазақ тiлi,
автор: Виолетта030905
Предмет: Литература,
автор: oknehcvehss
Предмет: Математика,
автор: makiyty