Предмет: Математика,
автор: verab98
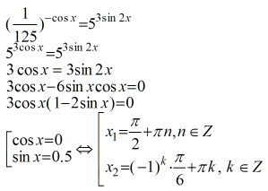
(1/125)^-cosx =5^3sin2x
Ответы
Автор ответа:
0
***************************************
Приложения:
Похожие вопросы
Предмет: Беларуская мова,
автор: mashunka1998
Предмет: Английский язык,
автор: Нафиса1584
Предмет: Русский язык,
автор: влад2396
Предмет: Қазақ тiлi,
автор: Aisulu021