Предмет: Математика,
автор: aria727
Нужно решение 2 задач!! Заранее спасибо!!!)
Приложения:
miron2077:
если бы я мог это прочитать!
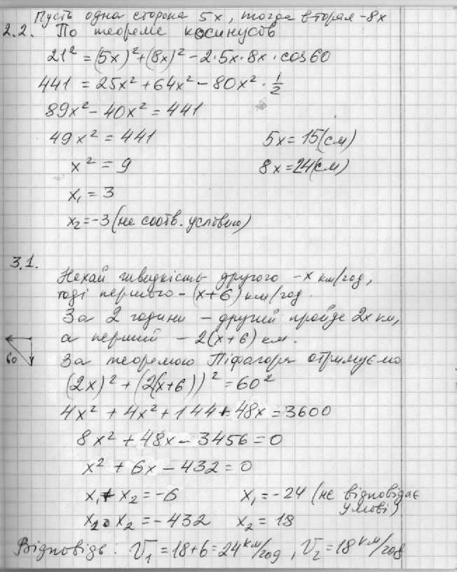
треугольник бьется по теореме косинусов
Ответы
Автор ответа:
1
В общем, если обозначить стороны треугольника a, b, c. Cчитаем, что известна с и угол между сторонами a и b. обозначим его φ.
Тогда теорема косинусов для данного треугольника может быть записана в виде:
(1)
Далее учитываем что
градусов (черт, знак градуса потерял).
значит
, если не ошибаюсь (2)
с=21 (3) по условию
Учтем, что

Выразим b через a
(4)
Тогда с учетом (2), (3), (4), уравнение (1) примет вид


(5)
Из (5) находим a

Следовательно

Ну все с треугольником. С пароходами,я думаю, товарищ разобрался.
Они расходятся перпендикулярно Юг - Запад.
Расстояние между ними гипотенуза прямоугольного треугольника.катеты - расстояния, пройденные каждым пароходом в отдельности.
Скорость одного примем за х км/ч.
Тогда скорость другого (х+6) км/ч
За 2 часа 1й пройдет 2х км, а 2й 2(х+6) км
Квадрат расстояния меж ними ,по теоремеПифагора

преобразуем



Решаем полученное квадратное уравнение:



Отрицательный корень отбрасываем, (ибо тогда выходит, что пароход плыл в потивоположном направлении)
х=18 км/ч - это скорость одного.
х+6=24 км/ч - это скорость второго.
Тогда теорема косинусов для данного треугольника может быть записана в виде:
Далее учитываем что
значит
с=21 (3) по условию
Учтем, что
Выразим b через a
Тогда с учетом (2), (3), (4), уравнение (1) примет вид
Из (5) находим a
Следовательно
Ну все с треугольником. С пароходами,я думаю, товарищ разобрался.
Они расходятся перпендикулярно Юг - Запад.
Расстояние между ними гипотенуза прямоугольного треугольника.катеты - расстояния, пройденные каждым пароходом в отдельности.
Скорость одного примем за х км/ч.
Тогда скорость другого (х+6) км/ч
За 2 часа 1й пройдет 2х км, а 2й 2(х+6) км
Квадрат расстояния меж ними ,по теоремеПифагора
преобразуем
Решаем полученное квадратное уравнение:
Отрицательный корень отбрасываем, (ибо тогда выходит, что пароход плыл в потивоположном направлении)
х=18 км/ч - это скорость одного.
х+6=24 км/ч - это скорость второго.
Автор ответа:
1
!!)!)!)!)!))!!)!))!)!)!)!!!!!!!!!!!!!)))))))))))
Приложения:
Похожие вопросы
Предмет: Русский язык,
автор: ахтиярова
Предмет: Английский язык,
автор: lers13
Предмет: Русский язык,
автор: 79Диля1
Предмет: Обществознание,
автор: kimliza1995
Предмет: Русский язык,
автор: DOREK