Предмет: Алгебра,
автор: nikita62rus
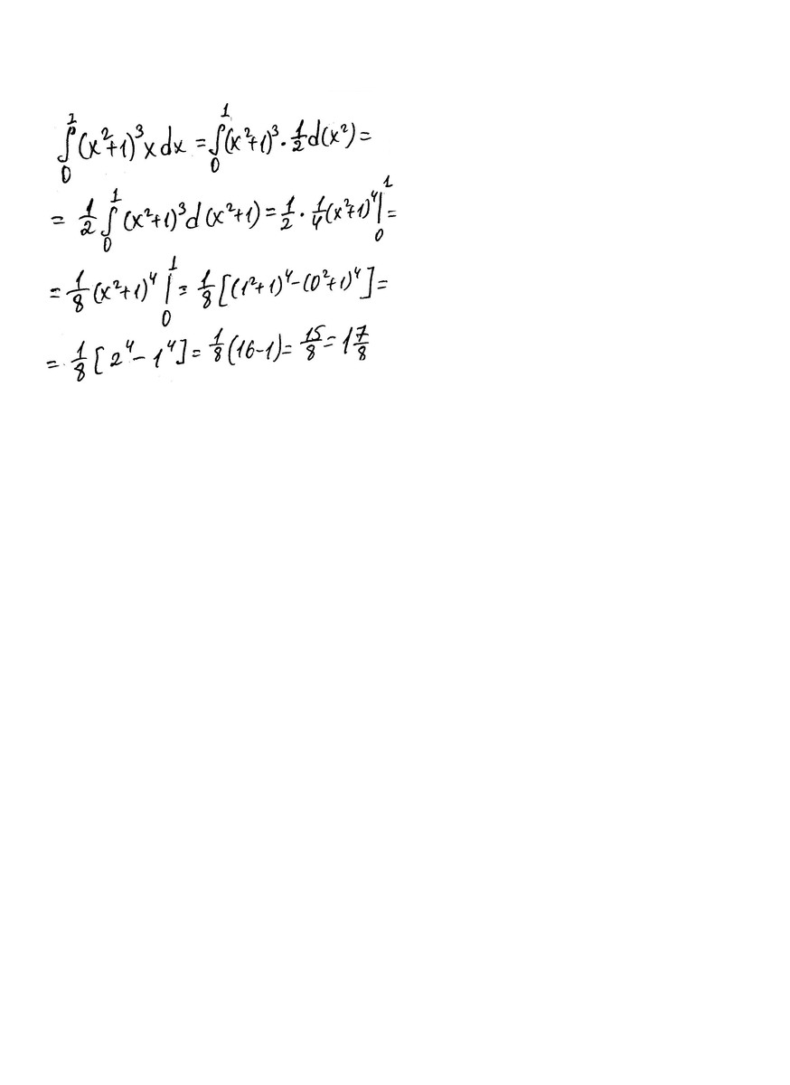
Решите определённый интеграл! Срочно надо! Заранее спасибо!
Приложения:
Ответы
Автор ответа:
1
Решение в приложении
Приложения:
Похожие вопросы
Предмет: Русский язык,
автор: OoMaRиNкАoO
Предмет: Қазақ тiлi,
автор: slj
Предмет: Русский язык,
автор: Djxjxjdj
Предмет: Алгебра,
автор: mindumelena
Предмет: Математика,
автор: lol45010