Предмет: Алгебра,
автор: gallyaev99qwerty
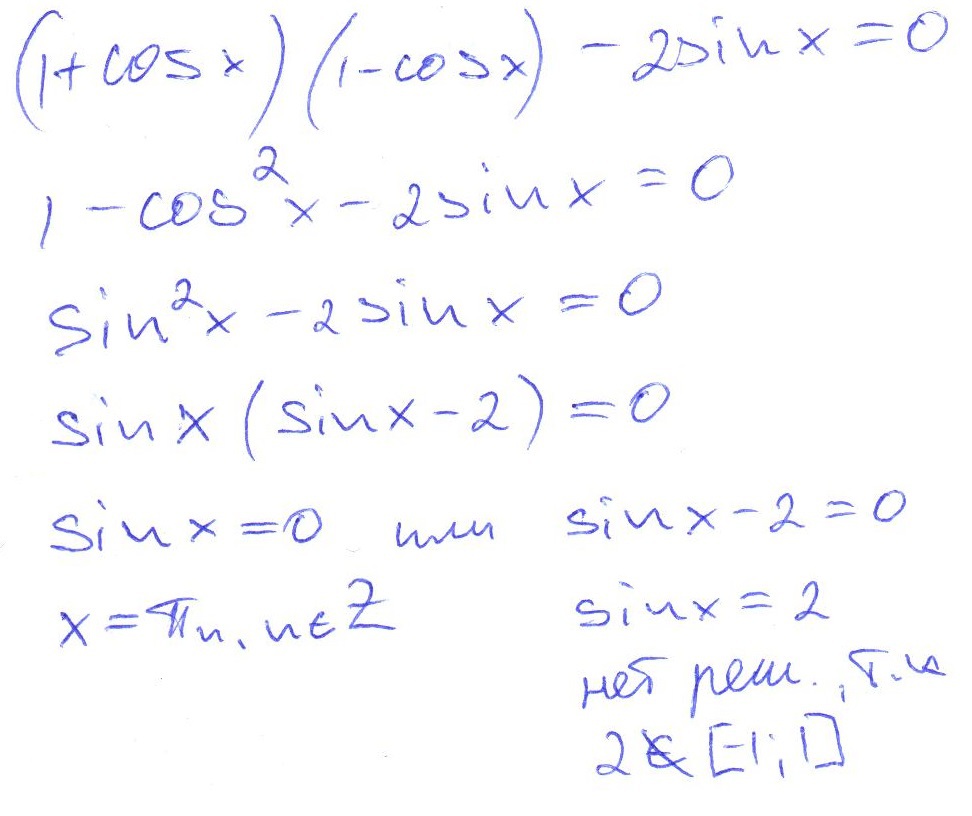
Помогите решить
(1+cosx)(1-cos x)-2sin x=0
Ответы
Автор ответа:
1
Решение на фото.....
Приложения:
Похожие вопросы
Предмет: Окружающий мир,
автор: rejnmasha2018
Предмет: Русский язык,
автор: 25646
Предмет: Английский язык,
автор: aikorkem02
Предмет: Математика,
автор: lika8968