Предмет: Алгебра,
автор: NePonimashka
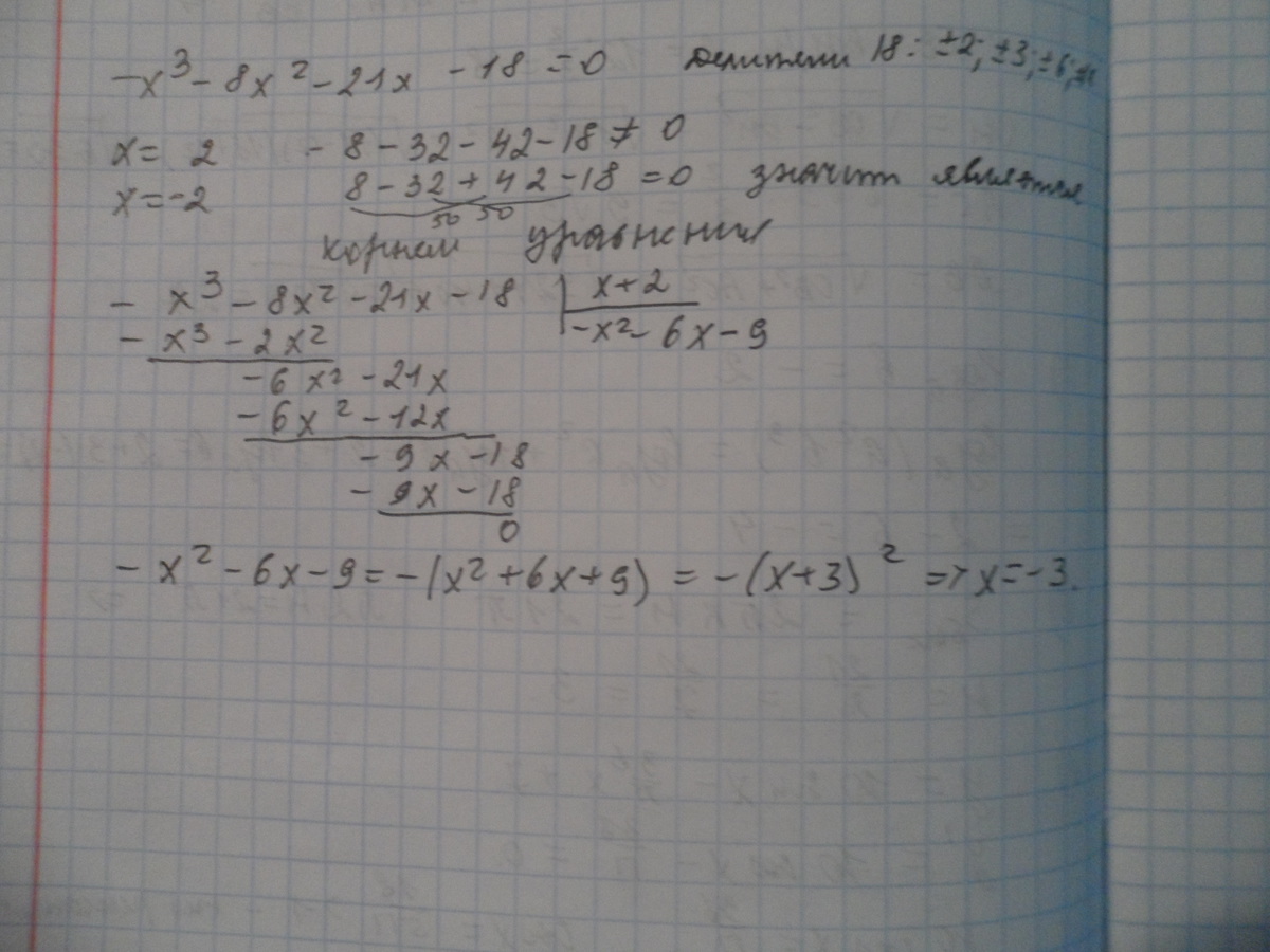
Найти корни уравнения
an602:
Первый корень находится подбором х1=-2. Теперь многочлен столбиком раздели на (х+2). Получишь квадратный трёхчлен с корнем -3. Ответ: х1=-2, х2=-3
Спасибо!
Ответы
Автор ответа:
1
Смотреть во вложении
Приложения:
Похожие вопросы
Предмет: Другие предметы,
автор: Лучисвета
Предмет: Русский язык,
автор: Ичдиьбюжд
Предмет: Окружающий мир,
автор: sp10nya
Предмет: Информатика,
автор: bvalusha
Предмет: Физика,
автор: Yaroslav2deymas