Предмет: Алгебра,
автор: hbhb5
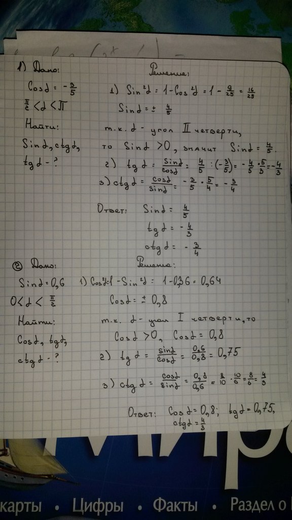
найти значение каждой из тригонометрических функций, если.. с решением)
Приложения:
Ответы
Автор ответа:
1
1. Зная косинус, найдем синус через основное тригонометрическое тождество:
sinα = √(1-cos²α);
sinα = √(1-9/25)
sinα = √(16/25)
Заметим, что α принадлежит второй четверти. Синус во второй четверти положителен, значит: sinα = 4/5
tgα = sinα/cosα = - 4/5 / 3/5 = -4/3
ctgα = 1/tgα = -3/4
2. Здесь мы найдем cos, зная синус:
cosα = √(1-sin²α)
cosα = √(1-9/25)
cosα = √(16/25)
Т.к. четверть первая, косинус в 1-ой четверти положителен:
cosα = 4/5
tgα = sinα/cosα = 3/5 / 4/5 = 3/4
ctgα = 1/tgα = 4/3
sinα = √(1-cos²α);
sinα = √(1-9/25)
sinα = √(16/25)
Заметим, что α принадлежит второй четверти. Синус во второй четверти положителен, значит: sinα = 4/5
tgα = sinα/cosα = - 4/5 / 3/5 = -4/3
ctgα = 1/tgα = -3/4
2. Здесь мы найдем cos, зная синус:
cosα = √(1-sin²α)
cosα = √(1-9/25)
cosα = √(16/25)
Т.к. четверть первая, косинус в 1-ой четверти положителен:
cosα = 4/5
tgα = sinα/cosα = 3/5 / 4/5 = 3/4
ctgα = 1/tgα = 4/3
Автор ответа:
1
/////////////////////////////////////////////////
Приложения:
Похожие вопросы
Предмет: Окружающий мир,
автор: AnnDyupina
Предмет: Русский язык,
автор: marinavik85
Предмет: Окружающий мир,
автор: AnnDyupina
Предмет: Русский язык,
автор: petastrelkov65
Предмет: Химия,
автор: cellerillaria3003