Предмет: Математика,
автор: sanieskirilov
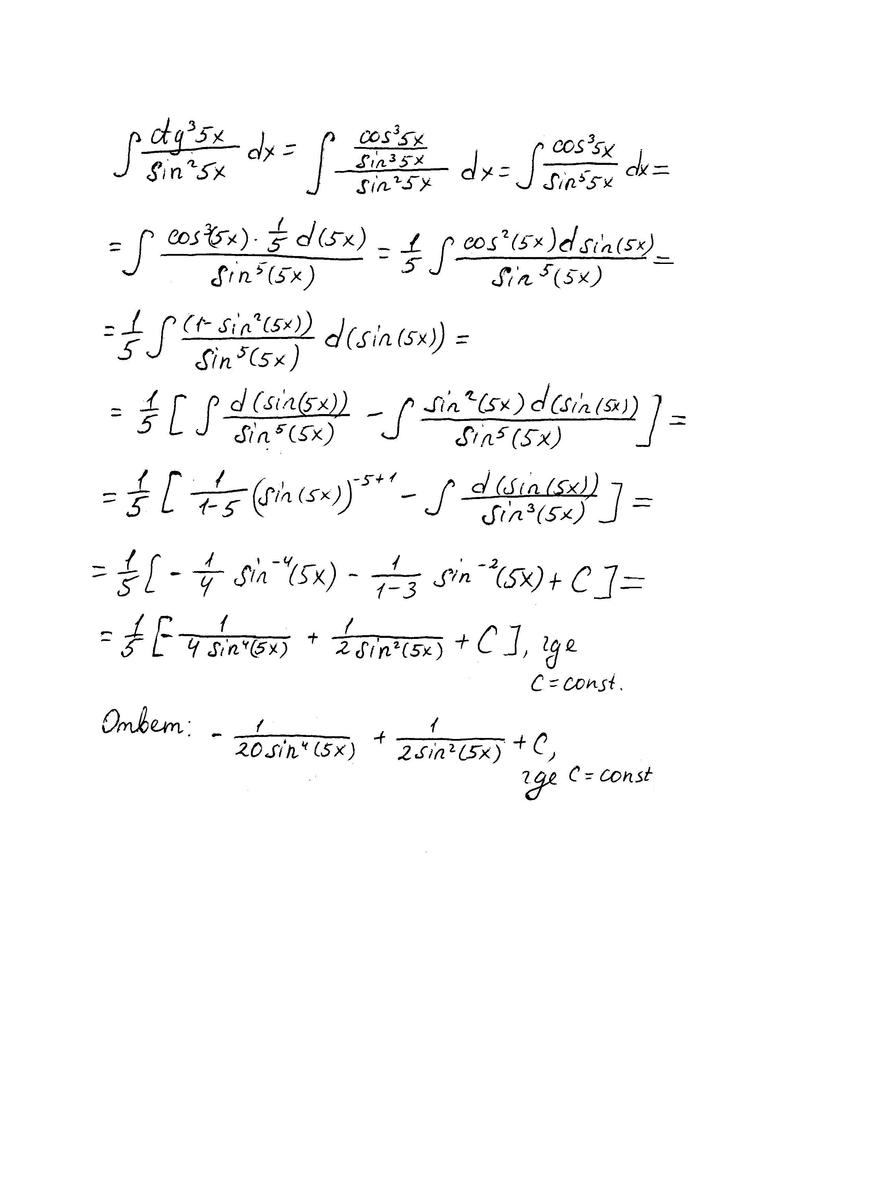
интеграл (ctg^3(5x))/(sin^2(5x))*dx
Ответы
Автор ответа:
1
решение в приложении
Приложения:
Похожие вопросы
Предмет: Английский язык,
автор: anastasiysu77
Предмет: Русский язык,
автор: мара151
Предмет: Русский язык,
автор: АннаШумская
Предмет: Французский язык,
автор: alina3538