Предмет: Алгебра,
автор: Аноним
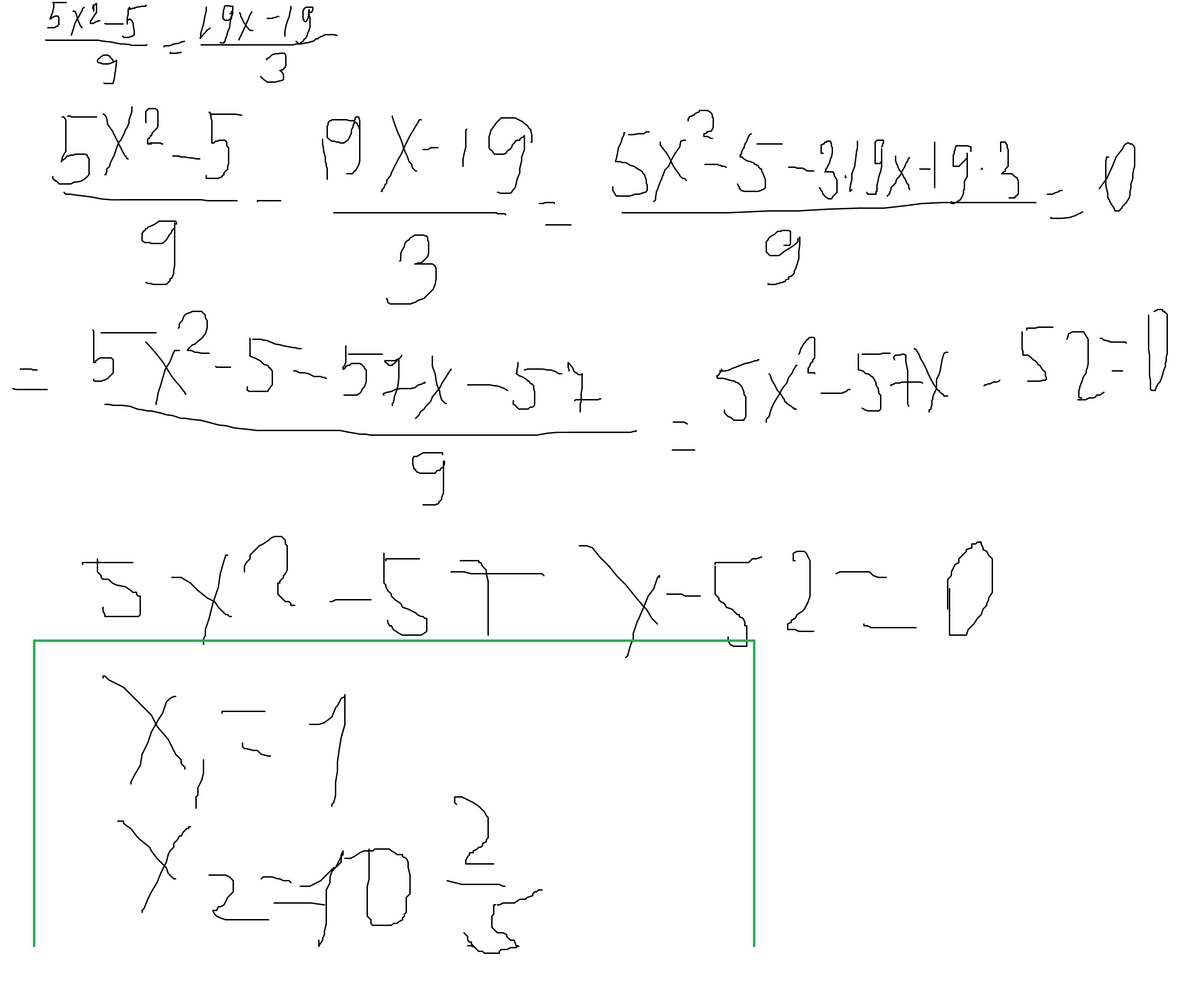
уравнение и его корни
Приложения:
Ответы
Автор ответа:
1
Ответ во вложении.......
Приложения:
Похожие вопросы
Предмет: Английский язык,
автор: vershan
Предмет: Английский язык,
автор: vershan
Предмет: Английский язык,
автор: vershan
Предмет: Математика,
автор: Аноним
Предмет: Английский язык,
автор: Fantommd99