Предмет: Математика,
автор: Fhkbhfxcjjnn
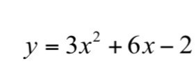
Найдите область значения функции
Приложения:
Ответы
Автор ответа:
1
Похожие вопросы
Предмет: Русский язык,
автор: зоза1
Предмет: Українська мова,
автор: olegHrutsyn
Предмет: Русский язык,
автор: petrove327егор
Предмет: Математика,
автор: 19842905