Предмет: Физика,
автор: Аноним
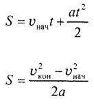
Какую из этих двух формул нахождения пути когда применять?
Приложения:
Ответы
Автор ответа:
1
Первая, когда известны начальная скорость, ускорение и время движения.
Вторая - когда известны начальная и конечная скорость, и ускорение.(неизвестно время движения).
Отличие во времени движения и конечной скорости.
Аноним:
При решении задач, где известно и то, и другое, иногда получаются разные ответы.
Всё зависит от условия задачи. ошибка только в вычислениях.
В решении задачи было оговорено, что применять такую-то формулу было бы ошибочно, ибо получается другой ответ. Но почему её нельзя применять и почему получается другой ответ - не сказано.
Вторая формула связана с законом сохранения энергии, возможно это надо учитывать.
Похожие вопросы
Предмет: Русский язык,
автор: fidan191
Предмет: Русский язык,
автор: 2008merei
Предмет: Русский язык,
автор: ПомогитеСДЗ11
Предмет: Қазақ тiлi,
автор: Milana5433
Предмет: Геометрия,
автор: 2000002000001