Предмет: Алгебра,
автор: Nate12
Алгебра 8 класс, помогите решить
Приложения:
Ответы
Автор ответа:
1
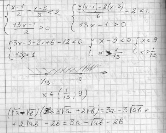
Держи первые два задания!
А теперь еще парочку!
А теперь еще парочку!
Приложения:
Похожие вопросы
Предмет: Русский язык,
автор: 0909044
Предмет: Қазақ тiлi,
автор: ayazhka2
Предмет: Қазақ тiлi,
автор: Аноним
Предмет: Химия,
автор: lyalinaolga2004241
Предмет: Математика,
автор: mishanya778