Предмет: Математика,
автор: fedya3
найдете корни уравнения. пожалуйста))
Приложения:
Ответы
Автор ответа:
1
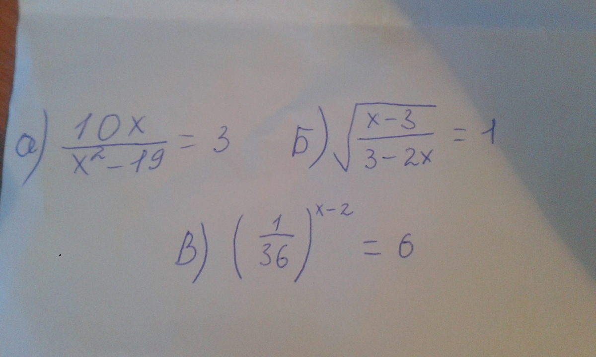
10х/ x^{2} -19=3 приведя к общему знаменателю получим
3х^2-10x-57=0
дискриминант равен 100+4*3*57=784
х=(10+28)/6=6 (1/3)
х= (10-28)/6= -3
(х-3)/(3-2х) =1
х-3=3-2х
3х=6
х=2
(1/36)^(x-2)=6
x-2= - 1/2
x = 2-1/2
x=1 (1/2)
3х^2-10x-57=0
дискриминант равен 100+4*3*57=784
х=(10+28)/6=6 (1/3)
х= (10-28)/6= -3
(х-3)/(3-2х) =1
х-3=3-2х
3х=6
х=2
(1/36)^(x-2)=6
x-2= - 1/2
x = 2-1/2
x=1 (1/2)
fedya3:
помог спасибо
Похожие вопросы
Предмет: Қазақ тiлi,
автор: Аноним
Предмет: Английский язык,
автор: Emiliya2008
Предмет: Русский язык,
автор: plalisa
Предмет: Литература,
автор: Аноним
Предмет: Алгебра,
автор: adamenkoivan566