Предмет: Алгебра,
автор: сашка248
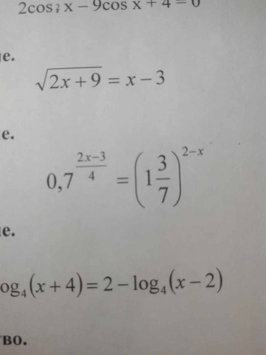
0,7 2х-3|4=(1|3_7)2-х ну как-то так на фото посмотрите , решительно побыстреее уравнение , БАЛЫ НЕ ЖЕЛЕЮ!!!!!!!
Приложения:
Ответы
Автор ответа:
2
решение смотри на фотографии
Приложения:
Похожие вопросы
Предмет: Английский язык,
автор: АрУмМа
Предмет: Русский язык,
автор: YanaNanueva
Предмет: Русский язык,
автор: shcherboroma
Предмет: Алгебра,
автор: txabdulkerimov