Предмет: Алгебра, автор: love2233

помогите выполнить 4 задания срочно

Приложения:

Ответы

Автор ответа: Аноним
0
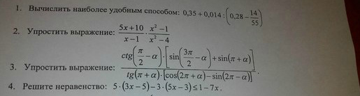
0,35+0.014:(0.28- \frac{14}{55} )=0.35+0.014\cdot (-220)=-2.73

 \frac{5x+10}{x-1}\cdot  \frac{x^2-1}{x^2-4}= \frac{5(x+2)}{x-1}\cdot \frac{(x-1)(x+1)}{(x-2)(x+2)}    = \frac{5x+5}{x-2}

 \frac{ctg( \frac{\pi}{2}- \alpha )[\sin( \frac{3\pi}{2}- \alpha )+\sin( \pi + \alpha )]  }{tg( \pi + \alpha )\cdot [\cos(2\pi + \alpha )-\sin(2\pi - \alpha )]} = \frac{tg \alpha [-\cos \alpha -\sin \alpha ]}{tg \alpha [\cos \alpha +\sin  \alpha ]}=- \frac{tg \alpha [\cos \alpha +\sin \alpha ]}{tg \alpha [\cos \alpha +\sin  \alpha ]}=-1

5(3x-5)-3(5x-3) \leq 1-7x\\ 15x-25-15x+9 \leq 1-7x\\ 7x \leq 1+16\\ x \leq  \frac{17}{7}

love2233: 1 нужно заменить дробями
love2233: да
love2233: и надо в 3 действия
love2233: записать помогите мне
love2233: надо перевести все в дроби в 1 задании
Автор ответа: LFP
0
------------------------------------
Приложения:
Похожие вопросы
Предмет: Русский язык, автор: MeinNameJa
Предмет: Қазақ тiлi, автор: мам77
Предмет: Алгебра, автор: kristinayegorova05