Предмет: Математика,
автор: DECOY656
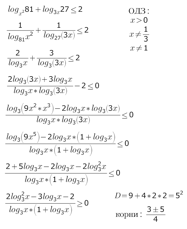
Решите неравенство
и напишите подробное решение
Приложения:
Ответы
Автор ответа:
1
1. перейти к одному основанию для логарифмов))
2. можно сделать замену a=log₃(x) (я не стала этого делать) и решить как обычное неравенство методом интервалов)))
получится три промежутка для (х)
х∈(0; 1/3) U [1/√3; 1) U [9; +бесконечность)
2. можно сделать замену a=log₃(x) (я не стала этого делать) и решить как обычное неравенство методом интервалов)))
получится три промежутка для (х)
х∈(0; 1/3) U [1/√3; 1) U [9; +бесконечность)
Приложения:
DECOY656:
оу, спасибо большое:)
рада была помочь))
Похожие вопросы
Предмет: Английский язык,
автор: kirill228141
Предмет: Русский язык,
автор: AlexKin228
Предмет: Қазақ тiлi,
автор: omarovasabina74
Предмет: Қазақ тiлi,
автор: her82