Предмет: Химия,
автор: Sergey0004
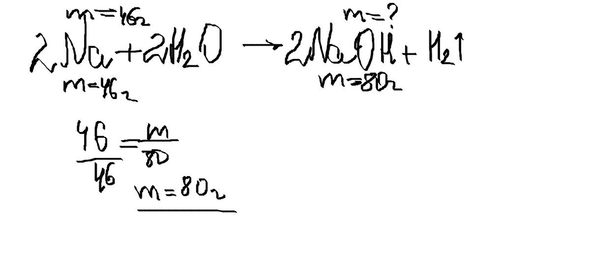
Какая масса гидроксида натрия получится при взаимодействии воды с 46 г натрия?
Ответы
Автор ответа:
2
решение во вложении
___________________________
___________________________
Приложения:
Похожие вопросы
Предмет: Русский язык,
автор: hhhhhhhhheeellll
Предмет: Русский язык,
автор: Pomochnik1vsegda
Предмет: Русский язык,
автор: Schildkrote
Предмет: Английский язык,
автор: Looolhjs
Предмет: Другие предметы,
автор: niks118