Предмет: Математика,
автор: dimka172
помогите решить пожалуйста
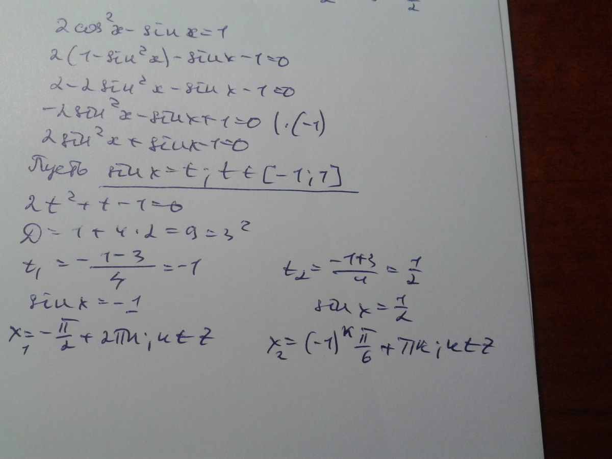
2cos²x-sin x=1
Ответы
Автор ответа:
1
2cos²x-sin x=1
2cos²x-sinx-1=0
2(1-sin²x)-sinx-1=0
-2sin²x-sinx+1=0
2sin²x+sinx-1=0
sinx=y
2y²+y-1=0
y₁=½,y₂=-1
1) sinx=½;x=(-1)ᵏ•(π/6)+πk,k∈Z
2) sinx=-1;x=-π/2+2πn,n∈Z.
2cos²x-sinx-1=0
2(1-sin²x)-sinx-1=0
-2sin²x-sinx+1=0
2sin²x+sinx-1=0
sinx=y
2y²+y-1=0
y₁=½,y₂=-1
1) sinx=½;x=(-1)ᵏ•(π/6)+πk,k∈Z
2) sinx=-1;x=-π/2+2πn,n∈Z.
dimka172:
спасибо=)
Автор ответа:
1
Решаем через замену переменных....................
Приложения:
спасибо большое)
Похожие вопросы
Предмет: Русский язык,
автор: Darinka2k17
Предмет: Окружающий мир,
автор: leroklysmi123456789
Предмет: Английский язык,
автор: NastyaTerenteva14
Предмет: Математика,
автор: dila1864
Предмет: Математика,
автор: qqqqaq