Предмет: Математика,
автор: zhekatrubin
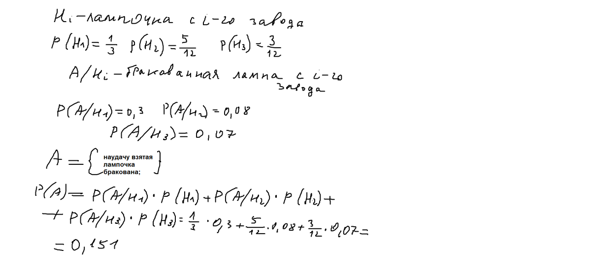
В партии из 600 лампочек 200 изготовлены на первом заводе, 250 – на втором, 150 – на третьем. Для первого завода вероятность того, что лампочка окажется стандартной – 0,7; для второго – 0,92; для третьего – 0,93. Какова вероятность того, что: а) наудачу взятая лампочка бракована; б) стандартная лампочка со второго завода.
Artur1897:
найти что надо?
а) наудачу взятая лампочка бракована; б) стандартная лампочка со второго завода
Ответы
Автор ответа:
6
................................................
Приложения:
пункт б на второй фотке
Похожие вопросы
Предмет: Английский язык,
автор: Nik524gh
Предмет: Окружающий мир,
автор: leroklysmi123456789
Предмет: Окружающий мир,
автор: lazizhamraev040
Предмет: Другие предметы,
автор: kruchinina8282
Предмет: Литература,
автор: alex032russ