Предмет: Математика,
автор: Сабина02
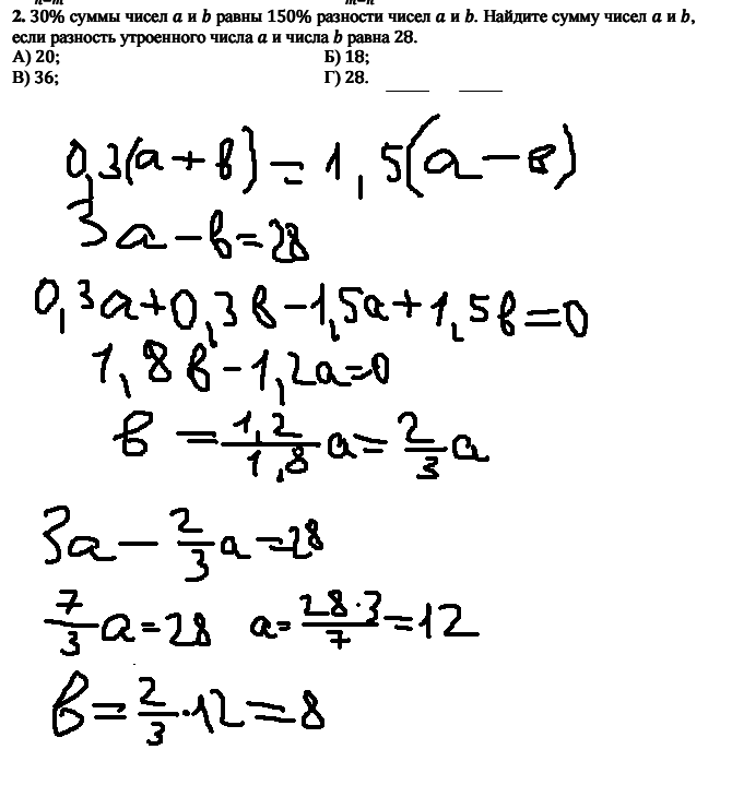
ДАЮ 30 БАЛОВ! ПОМОГИТЕ ПОЖАЛУЙСТА , ОЧЕНЬ СРОЧНО!
Приложения:
Ответы
Автор ответа:
2
.сумма 20.....................................................
Приложения:
Похожие вопросы
Предмет: Русский язык,
автор: maria075
Предмет: Русский язык,
автор: dasha5614
Предмет: Русский язык,
автор: Fantazia3000
Предмет: Химия,
автор: dhcjnkbbbdjdb4oro
Предмет: Алгебра,
автор: 20055578900