Предмет: Алгебра,
автор: d2rupls
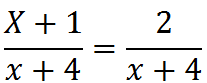
Решить уравнение
..........
Приложения:
Ответы
Автор ответа:
3
решение во вложении на фото.
корни уравнения: -4 и 1
корни уравнения: -4 и 1
Приложения:
Автор ответа:
1
Я думаю будет так:
x+1=2
x=2-1
x=1
x+1=2
x=2-1
x=1
Похожие вопросы
Предмет: Английский язык,
автор: фотбал
Предмет: Английский язык,
автор: aligbd
Предмет: Русский язык,
автор: zolomed
Предмет: Биология,
автор: oliviatelykh
Предмет: Английский язык,
автор: СвятоСвят