Предмет: Математика,
автор: Сабина02
ДАЮ 40 БАЛЛОВ!
помогите решить пожалуйста) очень надо)
Приложения:
Ответы
Автор ответа:
2
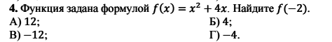
F ( X ) = X^2 + 4X
F ( - 2 ) = ( - 2 )^2 + 4 * ( - 2 ) = 4 - 8 = - 4
Ответ Г) - 4
F ( - 2 ) = ( - 2 )^2 + 4 * ( - 2 ) = 4 - 8 = - 4
Ответ Г) - 4
Автор ответа:
1
Ответ: Г)-4
Просто подставляешь -2 в формулу
Просто подставляешь -2 в формулу
Похожие вопросы
Предмет: Русский язык,
автор: arujan062
Предмет: Русский язык,
автор: ninablinova
Предмет: Окружающий мир,
автор: нателла98
Предмет: Математика,
автор: abbos94
Предмет: Химия,
автор: syrymovamoldir3