Предмет: Геометрия,
автор: du4ara
Попробуйте решить. МНОГО БАЛЛОВ
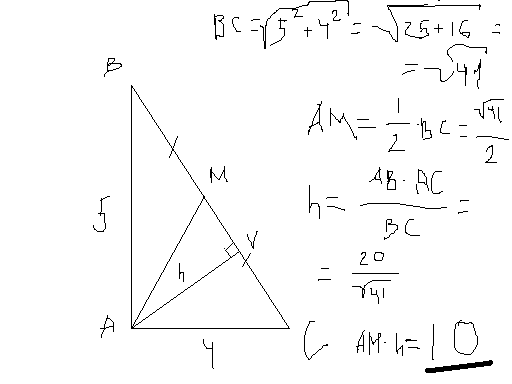
В прямоугольном треугольнике с катетами 4 и 5 провели медиану и высоту и вершины прямого угла. Чему равно произведение их длин? Кто решит, то ответ отмечу как лучший)
Ответы
Автор ответа:
1
Всё решение на рисунке правильный ответ 10.
Приложения:
du4ara:
Правильно) молодец
Похожие вопросы
Предмет: Қазақ тiлi,
автор: 1234567891180
Предмет: Українська мова,
автор: m32269081
Предмет: Окружающий мир,
автор: sergeizinin1972
Предмет: Алгебра,
автор: Аноним
Предмет: Українська мова,
автор: mrudneva548