Предмет: Математика,
автор: masharybina70
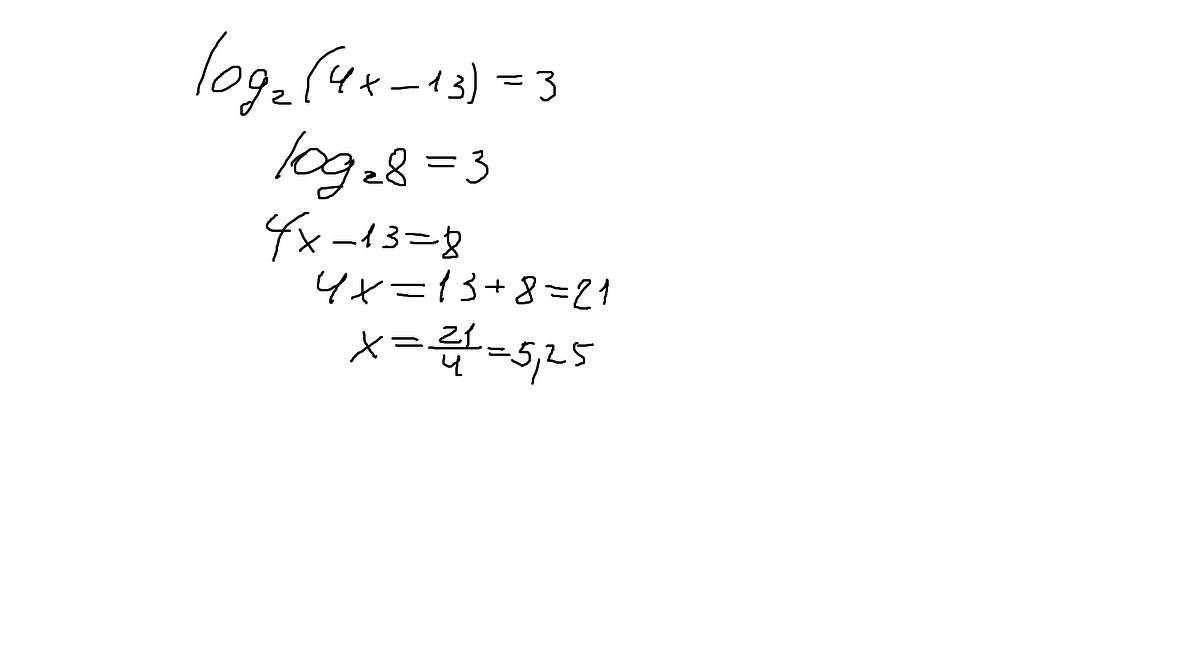
Найдите корень уравнения
log2(4x-13)=3
Ответы
Автор ответа:
2
..............................................
Приложения:
Похожие вопросы
Предмет: Английский язык,
автор: Sabina141111
Предмет: Русский язык,
автор: DemonBig
Предмет: Русский язык,
автор: Дюймовочка21
Предмет: Алгебра,
автор: zvezda12453
Предмет: Алгебра,
автор: Lev1480