Предмет: Алгебра,
автор: Аноним
пожалуйста решить,очень надо
Приложения:
Ответы
Автор ответа:
0
Автор ответа:
0
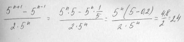
..............................
Приложения:
Похожие вопросы
Предмет: Українська мова,
автор: vany2008
Предмет: Русский язык,
автор: rasul63
Предмет: Английский язык,
автор: ксюшазооо
Предмет: Английский язык,
автор: AstronautNut
Предмет: Русский язык,
автор: popkorm01201309