Предмет: Алгебра, автор: Country8181

ПОЖАЛУЙСТА, помогите решить:

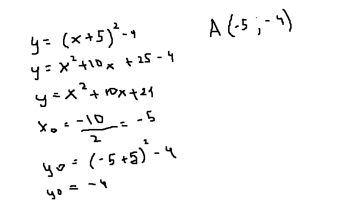
Определить координаты вершины параболы у= (х+5)^2 -4

Ответы

Автор ответа: Ленгит
0
...............................
Приложения:

Country8181: Спасибо большое!
Похожие вопросы
Предмет: Қазақ тiлi, автор: nika651
Предмет: Английский язык, автор: Про100Лиса1
Предмет: Другие предметы, автор: SaySofka11hs
Предмет: Математика, автор: SOfIi76666
Предмет: Математика, автор: danikda59