Предмет: Алгебра,
автор: tanyamikhaelis
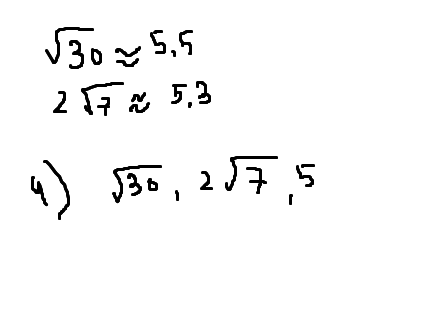
расположите в порядке возрастания числа:√30,2√7 и 5
1)2√7 ,5,√30 ; 2)√30,5,2√7 ; 3)5,2√7,√30 ; 4)√30,2√7,5
Ответы
Автор ответа:
1
,,,,,,,,,,,,,,,,,,,,,,,,
Приложения:
Похожие вопросы
Предмет: Русский язык,
автор: karkanitsa85
Предмет: Қазақ тiлi,
автор: Aliska079
Предмет: Русский язык,
автор: VanuaSuper
Предмет: Английский язык,
автор: shestopal723
Предмет: Математика,
автор: makosyajan