Предмет: Алгебра,
автор: antonof911
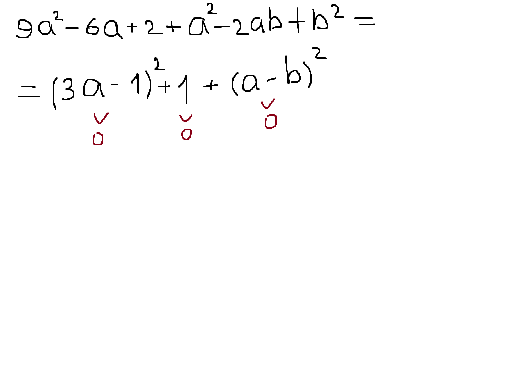
Докажите, что 10а^2-6а-2ab+b^2+2>0. Даю 15 баллов!!!
Ответы
Автор ответа:
1
........................................
Приложения:
Andr1806:
Для Antonof911: решающий написал Вам решение, начав его с момента, когда 10а² разложены на 9а² + а². далее 2 также представлена в виде суммы 1+1. Так что доказательство верное.
Похожие вопросы
Предмет: Английский язык,
автор: Аноним
Предмет: Английский язык,
автор: AminkaRatova
Предмет: Английский язык,
автор: Rodus01
Предмет: Геометрия,
автор: You6662018
Предмет: Алгебра,
автор: katyalolkek91