Предмет: Математика, автор: sonyamambetova1

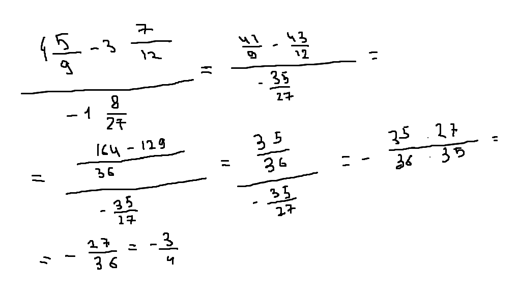
найдите значение выражения (4 5\9- 3 7\12):(-1 8\27)
Даю 14 баллов , помогите пожалуйста!

Приложения:

Ответы

Автор ответа: Ленгит
3
,,,,,,,,,,,,,,,,,,,,,,,,,,,,,,,,,,,,,,,,,,,,
Приложения:

sonyamambetova1: А МОЖЕШЬ ЭТОТ (1,56-1,24)*(-1 5\14)
Автор ответа: valushka5
1
(41/9-43/12):(-35/27)=(164-129)/36:(-35/27)=35/36:(-35/27)=-(35*27)/(36*35)=-3/4

sonyamambetova1: А МОЖЕШЬ ЭТОТ (1,56-1,24)*(-1 5\14
valushka5: 0.32*(-19/14)=32/100*(-19/14)=-(32*19)/(100*14)=-76/175
Похожие вопросы
Предмет: Қазақ тiлi, автор: 3456789012345678905
Предмет: Окружающий мир, автор: левник
Предмет: Математика, автор: nargizokkuan
Предмет: Математика, автор: Kikisuna