Предмет: Алгебра,
автор: Аноним
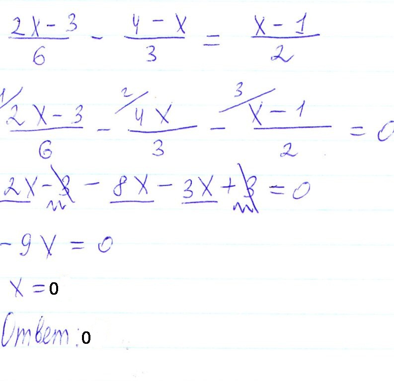
Решите , пожалуйста уравнение :
Приложения:
Ответы
Автор ответа:
1
........................................................................
Приложения:
Похожие вопросы
Предмет: Русский язык,
автор: Давид123321Давид
Предмет: Русский язык,
автор: TyankaPlay
Предмет: Қазақ тiлi,
автор: зуляжансая86
Предмет: Биология,
автор: gybeletaj5579