Предмет: Алгебра, автор: cloudyPWNZ

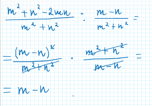
Упростите выражение \frac{ m^{2}+ n^{2}-2mn  }{ m^{2}+ n^{2}  }  :  \frac{m-n}{ m^{2}+ n^{2}  }


kostet1998: м-н

Ответы

Автор ответа: ewgenijbark
1
см. вложение
============
Приложения:
Автор ответа: zanjabill
0
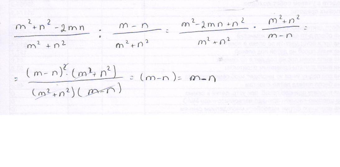
Упростите выражение  :

Приложения:
Похожие вопросы
Предмет: Психология, автор: sania2409
Проведение анализа конфликтной ситуации (из жизни, художественной литературы на выбор) по тесту «Оценка глубины конфликта» (прилагается) с составлением рекомендаций конфликтующим сторонам и регулирующему этот конфликт.

Тест «Оценка глубины конфликта»
В тесте представлены 8 основных позиций, имеющих непосредственное отношение к конфликтной ситуации. Ваша задача состоит в том, чтобы оценить выраженность каждого фактора по пятибалльной шкале. Сильная выраженность факторов левой стороны теста оценивается 1 баллом, а правой — 5 баллами. После оценки каждой позиции в тесте следует подсчитать общую сумму баллов, которая будет свидетельствовать о глубине конфликта.

1. Стороны осознают причину конфликта

12345

Стороны не осознают 1 причину конфликта

2. Причина конфликта имеет эмоциональный характер

12345

Причина конфликта имеет материальный характер

3. Цель конфликтующих — устремленность к социальной справедливости

12345

Цель конфликтующих — получение привилегий

4. Есть общая цель, к которой стремятся все

12345

Общей цели нет

5. Сферы сближения выражены

12345

Сферы сближения не выражены

6. Сферы сближения касаются эмоциональных проблем

12345

Сферы сближения касаются материальных (служебных) проблем

7. Лидеры мнений не выделяются

12345

Замечено влияние лидеров мнений

8. В процессе общения оппоненты придерживаются норм поведения

12345

В процессе общения оппоненты не придерживаются норм поведения


Оценка результатов

Сумма баллов, равная 35-40, свидетельствует о том, что конфликтующие заняли по отношению друг к другу жесткую позицию. Сумма баллов, равная 25-34, указывает на колебания в отношениях конфликтующих сторон.
Рекомендации субъектам, улаживающим конфликт:
а) если вы руководитель, то:
— при сумме баллов 35-40 вы должны выступать в роли обвинителя и для разрешения конфликтной ситуации в основном следует прибегать к административным мерам;
— при сумме баллов 25-34 вы должны выступать в роли консультанта и для разрешения конфликтной ситуации в основном следует прибегать к психологическим мерам;
— при сумме баллов менее 24 — вы должны выступать в роли воспитателя и в этом случае для разрешения конфликтной ситуации целесообразно использовать педагогические меры.
б) если вы являетесь медиатором, то:
— при сумме баллов 35-40 — следует предпринять меры по разъединению конфликтующих сторон и приступить к переговорам с ними дизъюнктивным способом (см. с. 136) до снижения накала борьбы между ними;
— при сумме баллов 25-34 — можно попытаться на очередной встрече в переговорном процессе перевести конфликт в конструктивную фазу;
— при сумме баллов менее 24 — можно активизировать усилия по подготовке конструктивного решения.