Предмет: Алгебра,
автор: bentos
5cos2x-6cos²x+4=0
9cos2x+3cosx-1=0
5sin2x-18cos²x+14=0
3cosx+11sinx+9=0
Ответы
Автор ответа:
3
Ответ во вложении......
Приложения:
oganesbagoyan:
неправильно решения второго ( своб. член не -1, а -10 ) и четвертого. внимание : cosx = 1 - sin²x ???
поможешь решить
Это все невнимательность моя
ахаха
Во втором все верно вроде
В первом тоже неправильно написаны окончательные решения
Автор ответа:
4
1) 5cos2x -6cos²x +4 =0;
5cos2x -6(1+cos2x)/2 +4 =0 ;
cos2x = -1/2 ;
2x = (+/-) (π -π/3) +2π*k , k∈Z.
x = (+/-) π/3 + π*k , k∈Z.
ответ : (+/-) π/3 + π*k , k∈Z.
------------------------------------------
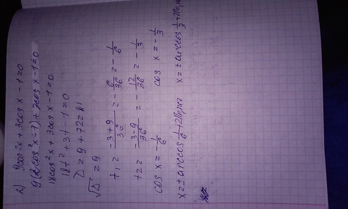
2) 9cos2x +3cosx -1 =0;
9(2cos²x -1)+3cosx -1 =0;
18cos²x +3cosx -10 =0 ; *** t =cosx ; | t | ≤ 1 ***
18t² +3t -10 =0 ;
D =3² +4*18*10 =729 =27² ;
t ₁ = ( -3 -27)/36 = -5/6 ;
t ₂=( - 3 +27)/36 = 2/3 .
cosx = -5/6⇒x =(+/-)arccos(-5/6) +2π*k или x = (+/-)(π -arccos5/6)+2π*k ;k∈Z ;
cosx = 2/3 ⇒x =(+/-)arccos(2/3) +2π*k ;k∈Z .
ответ : (+/-)arccos(-5/6) +2π*k , (+/-)arccos(2/3) +2π*k ;k∈Z .
-------------------------------------------
3) 5sin2x -18cos²x+14 =0 ;
5*2sinxcosx -18cos²x +14(cos²x+sin²x) =0;
7sin²x +5sinxcosx - 2cos²x =0 ;
7tq²x +5tqx -2 =0 ;
7t² +5t -2 =0 ;
D =5² -4*7(-2) =81 =9² ;
t₁= (-5-9)/14=-1;
t₂ =( -5 +9)/14 = 2/7;
tqx = -1⇒ x = -π/4 +π*k , k∈Z.
tqx = 2/7⇒ x =arctq2/7 +π*k , k∈Z.
ответ : - π/4 +π*k , arctq2/7 +π*k , k∈Z .
4) 3cosx+11sinx+9 =0; ***√(3²+11²) cos(x -arctq11/3) = -9****
3(cos²x/2 -sin²x/2) +11*2sinx/2*cosx/2 + 9(sin²x/2 +cos²x/2) =0;
6sin²x/2 +22sinx/2*cosx/2 +12cos²x/2 =0 ;
3sin²x/2 +11sinx/2*cosx/2 +6cos²x/2 =0 ; ***cosx/2 ≠0 ***
3tq²x/2 +11tqx/2 +6 =0 ;
[ tqx/2 = -3 ;tqx/2 = -2/3.
{x= - 2arctq3+2π*k ; x = -2arctq2/3+2π *k ; k∈Z.
ответ : - 2arctq3+2π*k , x = -2arctq2/3+2π *k ; k∈Z.∈
5cos2x -6(1+cos2x)/2 +4 =0 ;
cos2x = -1/2 ;
2x = (+/-) (π -π/3) +2π*k , k∈Z.
x = (+/-) π/3 + π*k , k∈Z.
ответ : (+/-) π/3 + π*k , k∈Z.
------------------------------------------
2) 9cos2x +3cosx -1 =0;
9(2cos²x -1)+3cosx -1 =0;
18cos²x +3cosx -10 =0 ; *** t =cosx ; | t | ≤ 1 ***
18t² +3t -10 =0 ;
D =3² +4*18*10 =729 =27² ;
t ₁ = ( -3 -27)/36 = -5/6 ;
t ₂=( - 3 +27)/36 = 2/3 .
cosx = -5/6⇒x =(+/-)arccos(-5/6) +2π*k или x = (+/-)(π -arccos5/6)+2π*k ;k∈Z ;
cosx = 2/3 ⇒x =(+/-)arccos(2/3) +2π*k ;k∈Z .
ответ : (+/-)arccos(-5/6) +2π*k , (+/-)arccos(2/3) +2π*k ;k∈Z .
-------------------------------------------
3) 5sin2x -18cos²x+14 =0 ;
5*2sinxcosx -18cos²x +14(cos²x+sin²x) =0;
7sin²x +5sinxcosx - 2cos²x =0 ;
7tq²x +5tqx -2 =0 ;
7t² +5t -2 =0 ;
D =5² -4*7(-2) =81 =9² ;
t₁= (-5-9)/14=-1;
t₂ =( -5 +9)/14 = 2/7;
tqx = -1⇒ x = -π/4 +π*k , k∈Z.
tqx = 2/7⇒ x =arctq2/7 +π*k , k∈Z.
ответ : - π/4 +π*k , arctq2/7 +π*k , k∈Z .
4) 3cosx+11sinx+9 =0; ***√(3²+11²) cos(x -arctq11/3) = -9****
3(cos²x/2 -sin²x/2) +11*2sinx/2*cosx/2 + 9(sin²x/2 +cos²x/2) =0;
6sin²x/2 +22sinx/2*cosx/2 +12cos²x/2 =0 ;
3sin²x/2 +11sinx/2*cosx/2 +6cos²x/2 =0 ; ***cosx/2 ≠0 ***
3tq²x/2 +11tqx/2 +6 =0 ;
[ tqx/2 = -3 ;tqx/2 = -2/3.
{x= - 2arctq3+2π*k ; x = -2arctq2/3+2π *k ; k∈Z.
ответ : - 2arctq3+2π*k , x = -2arctq2/3+2π *k ; k∈Z.∈
Похожие вопросы
Предмет: Английский язык,
автор: Аноним
Предмет: Окружающий мир,
автор: Хафизчон
Предмет: Қазақ тiлi,
автор: Osman2005
Предмет: Литература,
автор: ammashka