Предмет: Математика,
автор: Линда95
Решите удобным способом:
Приложения:
Линда95:
Кто даст решение, того сделаю лучшим, дам 100 % и НАЖМУ "СПАСИБО" ! :) ♥
побыстреееей ♥♥
Ответы
Автор ответа:
3
ответ 2 а решение щас попробую:
разобьём твой пример на действия.
1)94*1 7/18=(94*25)/18=1175/9=130 5/9
2)(7/9)*(13/15)=(7*13)/(9*15)=91/135
3)(7/18)*94=329/9
4)(13/15)*(2/9)=(13*2)/(15*9)=26/135
5)(1175/9)+ (91/135)= (17625+91)/135=17716/135
6)17716/135 - 329/9 = (17716-4935)/135= 12781/135
7)12781/135 + 26/135 = 12807/135=94 117/135 = 94 13/15
разобьём твой пример на действия.
1)94*1 7/18=(94*25)/18=1175/9=130 5/9
2)(7/9)*(13/15)=(7*13)/(9*15)=91/135
3)(7/18)*94=329/9
4)(13/15)*(2/9)=(13*2)/(15*9)=26/135
5)(1175/9)+ (91/135)= (17625+91)/135=17716/135
6)17716/135 - 329/9 = (17716-4935)/135= 12781/135
7)12781/135 + 26/135 = 12807/135=94 117/135 = 94 13/15
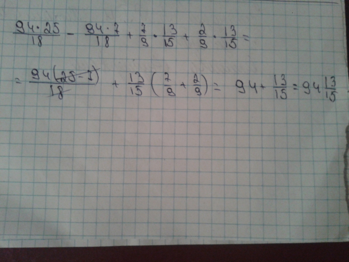
Автор ответа:
2
вот решение здесь некоторые данные сокращаются
Приложения:
Пасибааааааааа ♥♥♥♥♥
Похожие вопросы
Предмет: Қазақ тiлi,
автор: Akna47
Предмет: Қазақ тiлi,
автор: Дага72
Предмет: Окружающий мир,
автор: vitulya2007
Предмет: Физика,
автор: krisbina05
Предмет: Математика,
автор: KopTe3