Предмет: Алгебра,
автор: g3546740
Ответом на задание должно быть целое число или конечная десятичная дробь.
Приложения:
Ответы
Автор ответа:
1
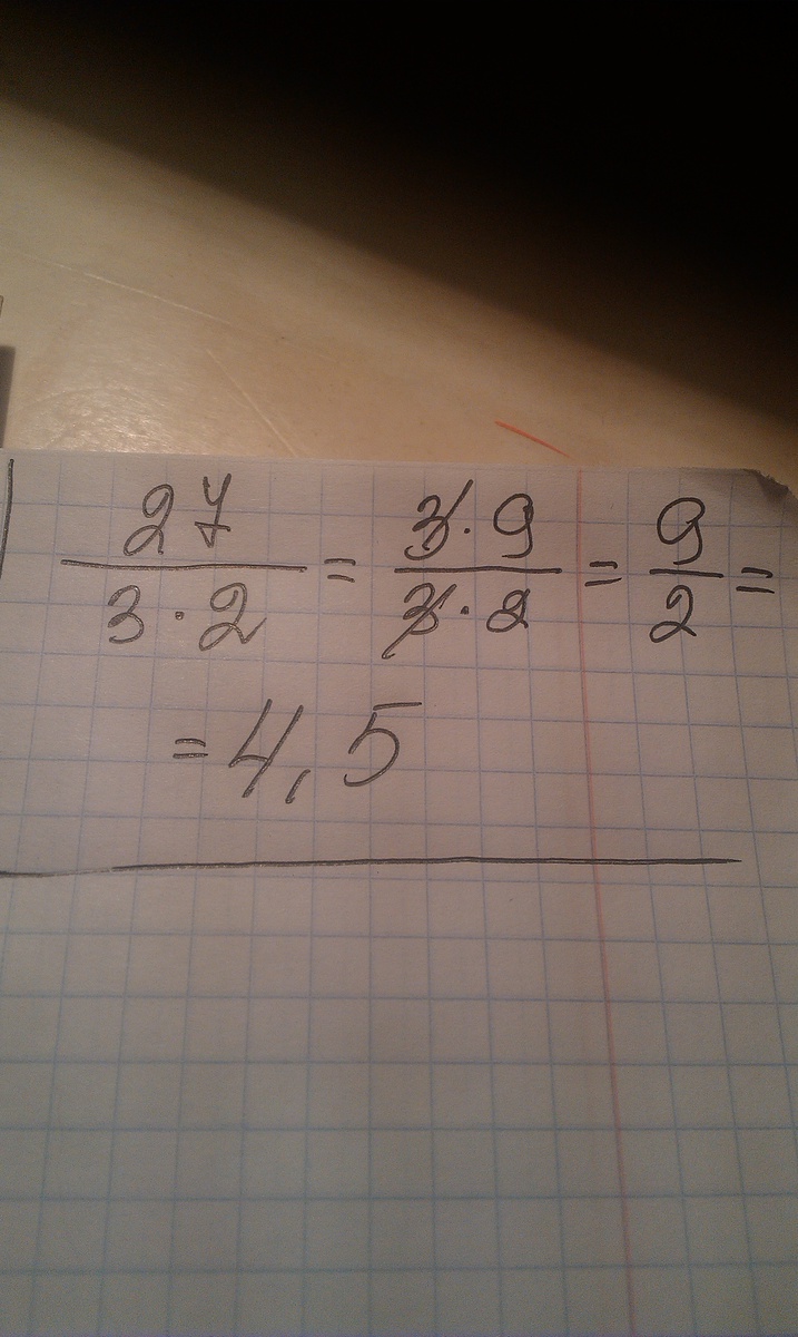
27/3×2=(27 и 3 сокрашаются,будет):9/2=4,5
Автор ответа:
0
решение смотри на фотографии
Приложения:
Похожие вопросы
Предмет: Русский язык,
автор: kslarchenko
Предмет: Английский язык,
автор: SvetlanaAstanovka
Предмет: Русский язык,
автор: nl664375
Предмет: Алгебра,
автор: JokeriO
Предмет: Физика,
автор: olyafilippova2002