Предмет: Алгебра,
автор: yulyarudobaba
3х+у=3 вторая строчка х-у=1
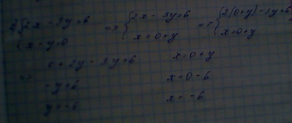
2х-3у=6 вторая строчка х-у=0
Ответы
Автор ответа:
1
....................
Приложения:
Похожие вопросы
Предмет: Українська мова,
автор: BoyGame23
Предмет: Английский язык,
автор: Hareta
Предмет: Русский язык,
автор: Шпунтик99
Предмет: Математика,
автор: romanovav101
Предмет: Математика,
автор: Alisa3533