Предмет: Алгебра,
автор: KreditNIK
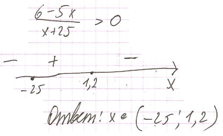
При каких значениях Х: Дробь (6-5х)/(х+25) принимает положительные значения?
Ответы
Автор ответа:
0
(6-5х)/(х+25) и далее по картинке
Приложения:
Автор ответа:
0
ОДЗ
Далее это равносильно (6-5x)*(x+25)>0
Первый множитель меняет знак при переходе через x=6/5=1.2 (6-5x=0 6=5x x=6/5)
Второй множитель меняет знак при переходе через x=-25 (x+25=0 x=-25)
Оба множителя в нечетной (первой) степени, значит при переходе через их корни выражение будет менять знак на противоположный.
Выясним знак при 0: (6-5*0)*(0+25)=6*25>0
Значит в интервале от -25 до 1,2 (где находится 0) это выражение будет принимать положительные значения.
ОТВЕТ (-25;1,2)
Приложения:
Похожие вопросы
Предмет: История,
автор: dina925
Предмет: Математика,
автор: Аноним
Предмет: Алгебра,
автор: nuancat540
Предмет: Алгебра,
автор: kara96
Предмет: Биология,
автор: milk2307