Предмет: Алгебра, автор: olga98like

Помогите ПОЖАЛУЙСТА!!! Очень срочно нужно!!!

Приложения:

Ответы

Автор ответа: dnepr1
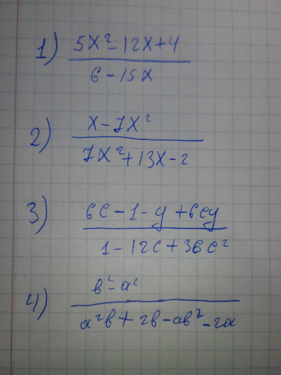
1
1)  \frac{5x^2-12x+4}{6-15x}= \frac{(5x-2)(x-2)}{3(2-5x)}= \frac{2-x}{3}.
2)  \frac{x-7x^2}{7x^2+13x-2}= \frac{x(1-7x)}{7(x- \frac{1}{7} )(x+2)}= \frac{-x}{x+2}   .
3)  \frac{6c-1-y+6cy}{1-12c+36c^2}= \frac{(6c-1)+y(6c-1)}{(6c-1)^2} = \frac{1+y}{6c-1}  .
4)  \frac{b^2-a^2}{a^2b+2b-ab^2-2a}= \frac{(b-a)(b+a)}{b(a^2+2)-b(ab-2)}= \frac{a+b}{2-ab}

olga98like: спасибо, а можешь промежуточные решения скинуть?)
dnepr1: Их легко проследить по приведенному ответу.
Похожие вопросы
Предмет: Русский язык, автор: Aigerimmmmmmm
Предмет: Алгебра, автор: yohigajem